• Apuntes
  • Vídeos
  • Ejercicios
    • Resueltos
    • Por Curso
      • 1º ESO
      • 2º ESO
      • 3º ESO
      • 4º ESO
      • 1º BACH. CIENCIAS
      • 1º BACH. SOCIALES
      • 2º BACH. CIENCIAS
      • 2º BACH. SOCIALES
  • Más recursos
    • Actividades Interactivas
    • Selectividad (PAU)
    • Acceso Mayores 25
    • LaTeX
Inicio ›EJERCICIOS de Matemáticas ›2º ESO ›Polinomios ›Ejercicio Cociente de Monomios

Ejercicio Cociente de Monomios

Ejercicios_Resueltosmonomiospolinomios

Realiza las siguientes operaciones con monomios:
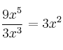
– \frac{9x^5}{3x^3} =
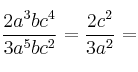
– \frac{2a^3bc^4}{3a^5bc^2} =

SOLUCIÓN

– \frac{9x^5}{3x^3} =3x^2
– \frac{2a^3bc^4}{3a^5bc^2} =\frac{2c^2}{3a^2} =

Comentar el ejercicio

  • 2º ESO
    • Fracciones
    • Potencias
    • Radicales
    • Números Enteros
    • Proporcionalidad
    • Geometría
    • Ecuaciones
    • Polinomios
    • Gráficas y Funciones 2º ESO
  • Mapa del sitio
  • Conectarse
  • 2001-2026 — Matemáticas IES — Contactar con Dani