• Apuntes
  • Vídeos
  • Ejercicios
    • Resueltos
    • Por Curso
      • 1º ESO
      • 2º ESO
      • 3º ESO
      • 4º ESO
      • 1º BACH. CIENCIAS
      • 1º BACH. SOCIALES
      • 2º BACH. CIENCIAS
      • 2º BACH. SOCIALES
  • Más recursos
    • Actividades Interactivas
    • Selectividad (PAU)
    • Acceso Mayores 25
    • LaTeX
Inicio ›EJERCICIOS de Matemáticas ›3º ESO ›Ecuaciones ›Ecuaciones de segundo grado incompletas

Ecuaciones de segundo grado incompletas

ecuacionesecuaciones-segundo-gradoEjercicios_Resueltosincompleta

Resuelve las siguientes ecuaciones:
– 3x^2-6x=0
– 2x^2-18=0

SOLUCIÓN

3x^2-6x=0
x \cdot (3x-6)=0 \Longrightarrow x=0 ; 3x-6=0 \Longrightarrow \fbox{x=0; x=2}

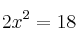
2x^2-18=0

2x^2=18

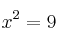
x^2=9

x=\pm \sqrt{9}  \Longrightarrow \fbox{x= \pm 3}

Comentar el ejercicio

  • 3º ESO
    • Sistemas de ecuaciones
    • Ecuaciones
    • Polinomios
    • Radicales
    • Potencias
    • Proporcionalidad y Porcentajes
    • Números Reales
    • Funciones y Gráficas
    • Sucesiones
    • Probabilidad
    • Geometría
    • Estadística
    • Problemas especiales
  • Mapa del sitio
  • Conectarse
  • 2001-2026 — Matemáticas IES — Contactar con Dani