• Apuntes
  • Vídeos
  • Ejercicios
    • Resueltos
    • Por Curso
      • 1º ESO
      • 2º ESO
      • 3º ESO
      • 4º ESO
      • 1º BACH. CIENCIAS
      • 1º BACH. SOCIALES
      • 2º BACH. CIENCIAS
      • 2º BACH. SOCIALES
  • Más recursos
    • Actividades Interactivas
    • Selectividad (PAU)
    • Acceso Mayores 25
    • LaTeX
Inicio ›EJERCICIOS de Matemáticas ›2º ESO ›Ecuaciones ›Ecuaciones de primer grado con paréntesis 2967

Ecuaciones de primer grado con paréntesis 2967

ecuacionesecuaciones de primer gradoecuaciones_con_paréntesisEjercicios_Resueltos

Resuelve la ecuación:

3(5x+9)-3(x-7)=11(x-2)+7


SOLUCIÓN

Primero debemos quitar los paréntesis

\underbrace{3\textcolor{red}{(}5x+9\textcolor{red}{)}}_{3\cdot 5x+3\cdot 9}-3(x-7)=11(x-2)+7

15x+27\underbrace{-3\textcolor{red}{(}x-7\textcolor{red}{)}}_{(-3)\cdot x+(-3)\cdot (-7)}=11(x-2)+7

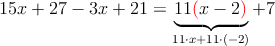
15x+27-3x+21=\underbrace{11\textcolor{red}{(}x-2\textcolor{red}{)}}_{11\cdot x+11\cdot (-2)}+7

15x+27-3x+21=11x-22+7

Comentar el ejercicio

  • 2º ESO
    • Fracciones
    • Potencias
    • Radicales
    • Números Enteros
    • Proporcionalidad
    • Geometría
    • Ecuaciones
    • Polinomios
    • Gráficas y Funciones 2º ESO
  • Mapa del sitio
  • Conectarse
  • 2001-2026 — Matemáticas IES — Contactar con Dani