• Apuntes
  • Vídeos
  • Ejercicios
    • Resueltos
    • Por Curso
      • 1º ESO
      • 2º ESO
      • 3º ESO
      • 4º ESO
      • 1º BACH. CIENCIAS
      • 1º BACH. SOCIALES
      • 2º BACH. CIENCIAS
      • 2º BACH. SOCIALES
  • Más recursos
    • Actividades Interactivas
    • Selectividad (PAU)
    • Acceso Mayores 25
    • LaTeX
Inicio ›EJERCICIOS de Matemáticas ›2º ESO ›Ecuaciones ›Ecuaciones de primer grado con paréntesis 2960

Ecuaciones de primer grado con paréntesis 2960

ecuacionesecuaciones de primer gradoecuaciones_con_paréntesisEjercicios_Resueltos

Resuelve la ecuación:

2(x+3) - 6(5+x) = 3x+4


SOLUCIÓN

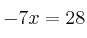
2(x+3) - 6(5+x) = 3x+4


2x+6 - 30 -6x = 3x+4


2x -6x -3x = 4 -6 +30


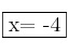
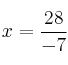
-7x = 28


x= \frac{28}{-7}


\fbox{x= -4}

Comentar el ejercicio

  • 2º ESO
    • Fracciones
    • Potencias
    • Radicales
    • Números Enteros
    • Proporcionalidad
    • Geometría
    • Ecuaciones
    • Polinomios
    • Gráficas y Funciones 2º ESO
  • Mapa del sitio
  • Conectarse
  • 2001-2026 — Matemáticas IES — Contactar con Dani