• Apuntes
  • Vídeos
  • Ejercicios
    • Resueltos
    • Por Curso
      • 1º ESO
      • 2º ESO
      • 3º ESO
      • 4º ESO
      • 1º BACH. CIENCIAS
      • 1º BACH. SOCIALES
      • 2º BACH. CIENCIAS
      • 2º BACH. SOCIALES
  • Más recursos
    • Actividades Interactivas
    • Selectividad (PAU)
    • Acceso Mayores 25
    • LaTeX
Inicio ›EJERCICIOS de Matemáticas ›3º ESO ›Ecuaciones ›Ecuación irracional resuelta

Ecuación irracional resuelta

ecuaciones_irracionalesEjercicios_Resueltos

Resuelve la ecuación: 4\cdot\sqrt{x-2}=x+2

SOLUCIÓN

4\cdot\sqrt{x-2}=x+2


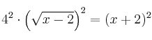
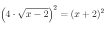
\left(4\cdot\sqrt{x-2}\right)^2=(x+2)^2


4^2 \cdot \left(\sqrt{x-2}\right)^2=(x+2)^2


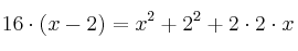
16 \cdot (x-2)=x^2+2^2 + 2 \cdot 2 \cdot x


16x-32=x^2+4 + 4x


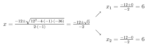
-x^2+12x-36=0



\begin{array}{ccc} & & x_1 = \frac{-12+0}{-2}=6\\ & \nearrow &\\ x=\frac{-12\pm \sqrt{12^2-4 \cdot(-1)\cdot(-36)}}{2 \cdot(-1)}=
 \frac{-12\pm \sqrt{0}}{-2}& &\\ & \searrow &\\& &x_2 = \frac{-12-0}{-2}=6\end{array}

Comprobamos la solución:
4\cdot\sqrt{x-2}=x+2
4\cdot\sqrt{6-2}=6+2
4\cdot\sqrt{4}=8
4\cdot 2=8
Es CORRECTA

Comentar el ejercicio

  • 3º ESO
    • Sistemas de ecuaciones
    • Ecuaciones
    • Polinomios
    • Radicales
    • Potencias
    • Proporcionalidad y Porcentajes
    • Números Reales
    • Funciones y Gráficas
    • Sucesiones
    • Probabilidad
    • Geometría
    • Estadística
    • Problemas especiales
  • Mapa del sitio
  • Conectarse
  • 2001-2026 — Matemáticas IES — Contactar con Dani