Distribución muestral de proporciones
De una población de 120 alumnos, hay 48 que tienen 2 o más hermanos. Si de dicha población se toman muestras de tamaño 40.
– a) ¿Qué distribución siguen las proporciones muestrales?.
– b) ¿Cuál es la probabilidad de que se encuentre en dicha muestra una proporción de más del 55 % de alumnos con 2 o más hermanos?.
SOLUCIÓN
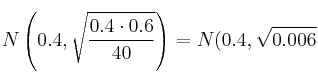
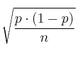
– a) Las proporciones muestrales se ajustan a una distribución normal de media
y desviación típica
siendo
el tamaño de la muestra y
la proporción de la población (o la proporción de la muestra cuando la de la población es desconocida)

En nuestro caso

Por tanto, seguirán una distribución normal con estos parámetros:

– b) ![P[\overline{p}>0.55] \stackrel{*}{=} P\left[ Z > \frac{0.55-0.4}{\sqrt{0.006}} \right]= P[\overline{p}>0.55] \stackrel{*}{=} P\left[ Z > \frac{0.55-0.4}{\sqrt{0.006}} \right]=](local/cache-TeX/df1a90cbf2f3d8f0ba20cb6a7271a3af.png)
(*) Tipificamos la variable
![=P\left[ Z > 1.94 \right] = 1 - P[Z \leq 1.94] \stackrel{*}{=}1-0.9738=0,0261 =P\left[ Z > 1.94 \right] = 1 - P[Z \leq 1.94] \stackrel{*}{=}1-0.9738=0,0261](local/cache-TeX/7d2037bae8f1deef72e202bbc4fadbd2.png)
(*) Valor mirado en la Tabla de la N(0,1)