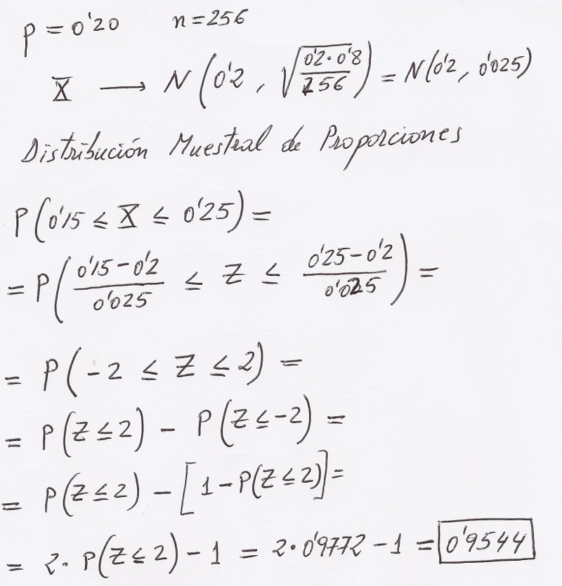
Distribución Muestral de Proporciones. Ejercicio 3637
En una determinada población se sabe que el 20 % de las personas usan gafas graduadas
y el resto no. Tomamos una muestra de 256 personas. ¿Cuál es la probabilidad de que el
porcentaje de personas encuestadas que usan gafas esté entre el 15 % y el 25 %?
