• Apuntes
  • Vídeos
  • Ejercicios
    • Resueltos
    • Por Curso
      • 1º ESO
      • 2º ESO
      • 3º ESO
      • 4º ESO
      • 1º BACH. CIENCIAS
      • 1º BACH. SOCIALES
      • 2º BACH. CIENCIAS
      • 2º BACH. SOCIALES
  • Más recursos
    • Actividades Interactivas
    • Selectividad (PAU)
    • Acceso Mayores 25
    • LaTeX
Inicio ›EJERCICIOS de Matemáticas ›3º ESO ›Ecuaciones ›Despejar x en una expresión. Ejercicio 4552

Despejar x en una expresión. Ejercicio 4552

despejar_variableEjercicios_Resueltos

Despeha x en la expresión \frac{2x-a}{b}=\frac{2x-b}{a}

SOLUCIÓN

En primer lugar eliminamos denominadores haciendo productos cruzados:

\frac{2x-a}{b}=\frac{2x-b}{a}

(2x-a) \cdot a = (2x-b) \cdot b

Eliminamos paréntesis

2x \cdot a -a \cdot a  = 2x \cdot b - b \cdot b

2ax  -a^2  = 2bx - b^2

2ax -2bx   = a^2 - b^2

(2a-2b) x = a^2 - b^2

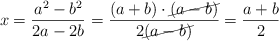
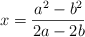
x = \frac{a^2 - b^2}{2a - 2b}

Ya tenemos despejado x, pero se puede simplificar.

Si usamos las fórmulas de los productos notables en el numerador y sacamos factor común en el denominador, tendríamos:

x = \frac{a^2 - b^2}{2a - 2b}=\frac{(a+b) \cdot \cancel{(a-b)}}{2 \cancel{(a - b)}} = \frac{a+b}{2}

Comentar el ejercicio

  • 3º ESO
    • Sistemas de ecuaciones
    • Ecuaciones
    • Polinomios
    • Radicales
    • Potencias
    • Proporcionalidad y Porcentajes
    • Números Reales
    • Funciones y Gráficas
    • Sucesiones
    • Probabilidad
    • Geometría
    • Estadística
    • Problemas especiales
  • Mapa del sitio
  • Conectarse
  • 2001-2026 — Matemáticas IES — Contactar con Dani