• Apuntes
  • Vídeos
  • Ejercicios
    • Resueltos
    • Por Curso
      • 1º ESO
      • 2º ESO
      • 3º ESO
      • 4º ESO
      • 1º BACH. CIENCIAS
      • 1º BACH. SOCIALES
      • 2º BACH. CIENCIAS
      • 2º BACH. SOCIALES
  • Más recursos
    • Actividades Interactivas
    • Selectividad (PAU)
    • Acceso Mayores 25
    • LaTeX
Inicio ›EJERCICIOS de Matemáticas ›3º ESO ›Ecuaciones ›Despejar variable. Ejemplo resuelto

Despejar variable. Ejemplo resuelto

💬 1

  despejar_variableEjercicios_Resueltos

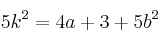
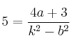
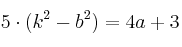
Despeja k en la expresión 5 = \frac{4a+3}{k^2-b^2}

SOLUCIÓN

5 = \frac{4a+3}{k^2-b^2}


5 \cdot (k^2-b^2)= 4a+3


5k^2-5b^2= 4a+3


5k^2= 4a+3 + 5b^2


k^2= \frac{4a+3 + 5b^2}{5}


k=\sqrt{ \frac{4a+3 + 5b^2}{5}}

Comentar el ejercicio

Mensajes

  • 10 de junio de 2015, 15:57, por Aura Fields

    No sale cómo se hace...

  • 3º ESO
    • Sistemas de ecuaciones
    • Ecuaciones
    • Polinomios
    • Radicales
    • Potencias
    • Proporcionalidad y Porcentajes
    • Números Reales
    • Funciones y Gráficas
    • Sucesiones
    • Probabilidad
    • Geometría
    • Estadística
    • Problemas especiales
  • Mapa del sitio
  • Conectarse
  • 2001-2026 — Matemáticas IES — Contactar con Dani