¿Cuántas diagonales tiene un polígono?

Ejercicios_Resueltosgeometría

Encuentra una fórmula para calcular el número de diagonales de un polígono de n lados.

SOLUCIÓN

La diagonal es un segmento que une dos vértices no consecutivos

Elementos de un polígono
Elementos de un polígono: lado, ángulo, vértice, diagonal

Triángulo \longrightarrow no tiene diagonales
Cuadrado \longrightarrow 2 diagonales
Pentágono \longrightarrow 5 diagonales

Veamos una fórmula general.

 Un polígono de n lados tiene n vértices (n \geq 4)
 De cada vértice sale una diagonal hacia otro vértice, excepto hacia sí mismo y excepto hacia los dos vértices adyacentes

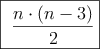
Por tanto de cada vértice salen n-3 diagonales
Como hay n vértices, en total serán n \cdot (n-3) diagonales.
Sin embargo, cada diagonal la estamos contando dos veces (contamos la diagonal AD y luego contamos la DA, que son la misma), por tanto debemos dividir por 2.

La fórmula quedaría asi:
El número de diagonales de un polígono de n lados es:

\fbox{\dfrac{n \cdot (n-3)}{2}}

Comentar el ejercicio