Contraste Bilateral Media
Los depósitos mensuales, en euros, en una entidad bancaria siguen una distribución normal de media
y desviación típica
. Con el fin de contrastar si la media de los depósitos mensuales es 20 €, se toma una muestra de tamaño 16, y la media muestral resulta ser 22.4 €. ¿Se puede aceptar la hipótesis de que la media es 20 € a un nivel de significación del 5%?
SOLUCIÓN
Se trata de un contraste de hipótesis bilateral para la media (ver la teoría).
Contraste
(la media de los depósitos es de 20 €)
(la media de los depósitos es distinta de 20 €))
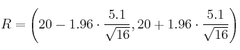
Datos
confianza: ![]()
Región de aceptación (R)


![]()
Decisión:
Como
Aceptamos ![]()
Podemos afirmar que la media de depósitos mensuales es de 20 € (con un nivel de significación de 0.05)