Cociente de Radicales
Expresa como una sola raíz ![]()
SOLUCIÓN
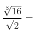
![\frac{\sqrt[5]{16}}{\sqrt{2}}= \frac{\sqrt[5]{16}}{\sqrt{2}}=](local/cache-TeX/cade43b42d6e926c87c702e3f62bef37.png)
Podemos hacer el ejercicio de varias formas:
– 1) cociente de radicales haciendo común índice
![\frac{\sqrt[5]{16}}{\sqrt{2}}= \frac{\sqrt[5]{16}}{\sqrt{2}}=](local/cache-TeX/cade43b42d6e926c87c702e3f62bef37.png)
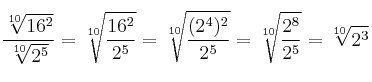
m.c.m.(2,5) = 10
![\frac{\sqrt[10]{16^2}}{\sqrt[10]{2^5}}= \sqrt[10]{\frac{16^2}{2^5}} = \sqrt[10]{\frac{(2^4)^2}{2^5}} = \sqrt[10]{\frac{2^8}{2^5}} = \sqrt[10]{2^3} \frac{\sqrt[10]{16^2}}{\sqrt[10]{2^5}}= \sqrt[10]{\frac{16^2}{2^5}} = \sqrt[10]{\frac{(2^4)^2}{2^5}} = \sqrt[10]{\frac{2^8}{2^5}} = \sqrt[10]{2^3}](local/cache-TeX/cd88d7fb768d3a235827ff86cf3b8a34.png)
– 2) pasando a potencias
![\frac{\sqrt[5]{16}}{\sqrt{2}}= \frac{\sqrt[5]{2^4}}{\sqrt{2}} = \frac{2^{\frac{4}{5}}}{2^{\frac{1}{2}}} = 2^{\frac{4}{5}-\frac{1}{2}} = 2^{\frac{3}{10}}= \sqrt[10]{2^3} \frac{\sqrt[5]{16}}{\sqrt{2}}= \frac{\sqrt[5]{2^4}}{\sqrt{2}} = \frac{2^{\frac{4}{5}}}{2^{\frac{1}{2}}} = 2^{\frac{4}{5}-\frac{1}{2}} = 2^{\frac{3}{10}}= \sqrt[10]{2^3}](local/cache-TeX/e15d690f1943c6fd20ec9e2bc0708dac.png)
Expresa como una sola raíz ![]()
![\frac{\sqrt[5]{16}}{\sqrt{2}}= \frac{\sqrt[5]{16}}{\sqrt{2}}=](local/cache-TeX/cade43b42d6e926c87c702e3f62bef37.png)
– 1) cociente de radicales haciendo común índice
![\frac{\sqrt[5]{16}}{\sqrt{2}}= \frac{\sqrt[5]{16}}{\sqrt{2}}=](local/cache-TeX/cade43b42d6e926c87c702e3f62bef37.png)
![\frac{\sqrt[10]{16^2}}{\sqrt[10]{2^5}}= \sqrt[10]{\frac{16^2}{2^5}} = \sqrt[10]{\frac{(2^4)^2}{2^5}} = \sqrt[10]{\frac{2^8}{2^5}} = \sqrt[10]{2^3} \frac{\sqrt[10]{16^2}}{\sqrt[10]{2^5}}= \sqrt[10]{\frac{16^2}{2^5}} = \sqrt[10]{\frac{(2^4)^2}{2^5}} = \sqrt[10]{\frac{2^8}{2^5}} = \sqrt[10]{2^3}](local/cache-TeX/cd88d7fb768d3a235827ff86cf3b8a34.png)
– 2) pasando a potencias
![\frac{\sqrt[5]{16}}{\sqrt{2}}= \frac{\sqrt[5]{2^4}}{\sqrt{2}} = \frac{2^{\frac{4}{5}}}{2^{\frac{1}{2}}} = 2^{\frac{4}{5}-\frac{1}{2}} = 2^{\frac{3}{10}}= \sqrt[10]{2^3} \frac{\sqrt[5]{16}}{\sqrt{2}}= \frac{\sqrt[5]{2^4}}{\sqrt{2}} = \frac{2^{\frac{4}{5}}}{2^{\frac{1}{2}}} = 2^{\frac{4}{5}-\frac{1}{2}} = 2^{\frac{3}{10}}= \sqrt[10]{2^3}](local/cache-TeX/e15d690f1943c6fd20ec9e2bc0708dac.png)