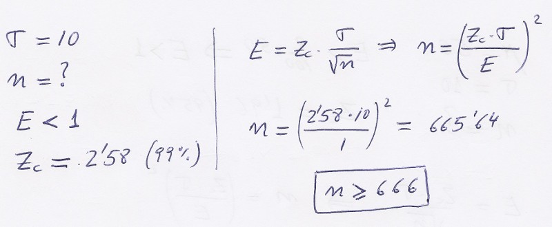
Calcular tamaño de la muestra
La desviación típica de los habitantes de cierto país es 10 cm. Calcula el tamaño mínimo que ha de tener una muestra de habitantes de dicho país para que el error cometido al estimar la altura media sea inferior a 1 cm con un nivel de significación
.
