Matrices, Determinantes y Sistemas
(245) ejercicios de Matemáticas PAU Andalucía
(66) ejercicios de Matemáticas II — Álgebra (Matrices, Determinantes y Sistemas)
Considera el sistema de ecuaciones

– a) Determina el valor de
para que el sistema sea incompatible.
– b) Resuelva el sistema para ![]()
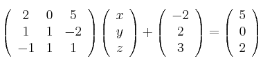
Resuelve

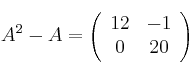
Con sidera
, siendo
un número real
– a) Calcula el valor de
para que
.
– b) Calcula, en función de
, los determinantes de
y
, siendo
la traspuesta de
.
– c) ¿Existe algún valor de
para el que la matriz
sea simétrica? Razona la respuesta.
Considera el sistema de ecuaciones:

– (a) ¿Para qué valor de
el sistema tiene al menos dos soluciones?
– (b) ¿Para qué valores de
el sistema admite solución en la que
?
Considera el sistema de ecuaciones:

– (a) ¿Para qué valor de
el sistema tiene al menos dos soluciones?
– (b) ¿Para qué valores de
el sistema admite solución en la que
?