2796 Ecuación de la recta paralela
Sea la recta
.
– a) Escribe la ecuación de 2 rectas paralelas
– b) Escribe la ecuación de la paralela por el punto ![]()
SOLUCIÓN
Dos rectas son paralelas cuando tengan la mima pendiente,
Recordemos que la pendiente
de una recta es el coeficiente de "x" en la ecuación explícita

Todas la rectas paralelas a
serán de la forma:
![]()
Ejemplos:
–
–
–
b) Nos piden una paralela
que pase por ![]()
Hacemos
; ![]()
![]()
![]()
![]()
![]()
Por tanto, la recta que nos piden es:
![]()
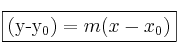
Otra forma de hacerlo es usar la ecuación punto-pendiente:
Si conocemos la pendiente
de una recta y un punto
por donde pase, podemos crear la ecuación punto-pendiente de dicha recta:

En nuestro caso sería:
