Números Reales
Números Racionales y Reales - 3º ESO
Ordena de menor a mayor las siguientes fracciones:

En una clase de educación física,
de los alumnos han elegido baloncesto y el 43% fútbol. ¿Cuál de estos dos deportes es el más elegido?
Simplifica las siguientes fracciones:

Simplifica las siguientes fracciones:

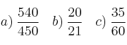
Convierte en irreducibles las siguientes fracciones:

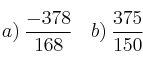
Simplifica las siguientes fracciones:

Representa en la recta real los siguientes intervalos (cada uno en una recta distinta):
![]()
Indica si los siguientes números son racionales o irracionales
| a) | d) | ||
| b) | e) | ||
| c) | f) | ![]() |
Se empaquetan 99 kg de chocolate en bolsas de 12 kg y 5 kg. Si se utilizan más de 10 bolsas ¿cuántas bolsas de cada tipo se utilizaron?
Explique el procedimiento para obtener la respuesta
Tenemos una cuerda de 60 metros. Cortamos una quinta parte. Después cortamos la mitad de lo que queda. ¿Cuántos metros de cuerda nos quedan?
