Geometría en el Plano

Geometría - 1º Bach. Ciencias

Demuestra que:

a) la perpendicular a una recta de vector director \vec{u}(a,b) , tiene como vector director \vec{v}(-b,a) o \vec{v}(b,-a)

b) el producto de las pendientes de dos rectas perpendiculares vale -1

Demuestra que (b,-b) es un vector director de la recta ax+ay=1, siendo a \neq 0 y b \neq 0

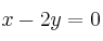
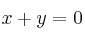
Halla los vértices del triángulo formado al cortarse las tres rectas siguientes:

x+2y-4=0
x-2y=0
x+y=0