Geometría en el Espacio
(245) ejercicios de Matemáticas PAU Andalucía
(32) ejercicios de Matemáticas II — Geometría (Geometría en el espacio)
Halla las coordenadas del punto simétrico de
con respecto a la recta

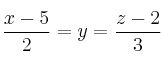
Sea
la recta de ecuaciones

– (a) Halla los puntos de
cuya distancia al origen es de
unidades
– (b) Halla la ecuación del plano perpendicular a
que pasa por el punto ![]()
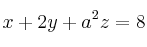
Considera el sistema

– (a) Discútelo según los valores de
– (b) ¿Cuál es, según los valores de
, la posición relativa de los planos cuyas ecuaciones respectivas son las tres que forman el sistema?
Considera los planos
y ![]()
– (a) ¿Qué ángulo determinan ambos planos?
– (b) Halla el plano que pasa por el origen de coordenadas y es perpendicular a los dos planos dados
Calcula
sabiendo que los planos
y ![]()
se cortan en una recta que pasa por el punto
y no pasa por el punto ![]()