Ejercicios de EXAMEN Acceso 25 UNED — Matemáticas

dominio_de_una_función UNED

← Volver a Acceso 25

(6) ejercicios de dominio_de_una_función UNED

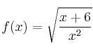
  • 👁 Ver #3661 UNED A25 - 2013 Junio Modelo A Ejercicio 8 Ver Solución

    El dominio de la función f(x)=\sqrt{\frac{x+6}{x^2}} es:

  • 👁 Ver #3444 UNED A25 - 2012 Septiembre G 01 Ver Solución

    El dominio de la función f(x)=\sqrt{x^2+3x-4} es:

     A) (-\infty, -4] \cup [1, +\infty)
     B) R - \{-4,0,1  \}
     C) [0, +\infty)

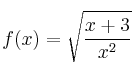
  • 👁 Ver #3437 UNED A25 - 2012 Septiembre M 04 Ver Solución

    El dominio de la función f(x)=\sqrt{\frac{x+3}{x^2}} es:

     A) R-\{-3,0\}
     B) [-3,0) \cup (0, +\infty)
     C) (-\infty,-3] \cup (0, +\infty)

  • 👁 Ver #3419 UNED A25 - 2012 Junio N 01 Ver Solución

    El dominio de la función f(x)=\frac{1}{\sqrt{x^2-5x+6}} es:

     A) (-\infty,2) \cup (3, +\infty)
     B) R - \{2,3\}
     C) (2,3)

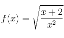
  • 👁 Ver #3408 UNED A25 - 2012 Junio D 01 Ver Solución

    El dominio de la función f(x)=\sqrt{\frac{x+2}{x^2}} es:

     A) R-\{-2,0\}
     B) [-2,0) \cup (0, +\infty)
     C) (-\infty,-2] \cup (0, +\infty)